Demystification of organic acid blends
The topics of feed acidification and organic acids are undergoing a bit of a renaissance as of late. With the recent US push to join Europe in curtailing the use of antibiotics for growth promotion, and industries pivoting toward gut health as a strategic market, there has been an explosion in the prevalence of companies offering novel organic acid based products on the market. With this increase in participation has come a surge of questionable marketing stories aimed at promoting these new products. The purpose of this article will be to shine a light on some of the more frequently misrepresented or misunderstood topics relating to the use of organic acids.
Organic acids vs. inorganic acids
Organic acids are carboxylic acids with the general formula of R-COOH, with the "R" group representing a fatty acid chain of variable length, and the "COOH" group representing the carboxyl group that is the source of the donatable H+. Inorganic acids tend to be "stronger" acids, in that they are more likely to donate their H+ at lower pH in water. While certainly useful in a range of scenarios, this chemists concept of acid strength only tells part of the story.
Figure 1. Association/dissociation equilibrium of formic acid

For example, HCl has a pKa of -7. The pKa of an acid is the pH at which the acid will be half dissociated. Since a negative pH is only theoretical, under any practical situation HCl will convert entirely to H+ and Cl– in water, regardless of the pH of that water. However, formic acid has a pKa of 3.75, which means that the dissociated (H+ + HCOO–) and undissociated states (HCOOH) will both exist in equilibrium determined by the pH of the solution. For example, at pH 3.75 the dissociated and undissociated states will both exist in 50:50 equilibrium, at pH 3.25 the equilibrium will be 10:90, and at pH 4.25 it will be 90:10. This pH dependent equilibrium is important, because it enhances the efficacy of organic acids relative to inorganic acids despite the latter's greater strength.
How does an organic acid like formic acid work?
There is a long history of use of organic acids as food and feed additive. The potential of formic acid in preservation was first shown in 1865. Today, formic acid is widely used to improve feed hygiene and kill feed borne pathogens like Salmonella and Campylobacter.
Commercial feed is generally in the pH range of between 5 and 7. Within this pH range, formic acid will be almost entirely dissociated, thus driving down the pH of feed quickly. The foregut is generally in the pH of between 2 and 5 depending on how long since the last meal, the size of the meal, and the developmental status of the animal. At the lower end of this range, formic acid will convert almost entirely to the undissociated state (HCOOH). This is significant, because in this state the acid is both non-polar and lipophilic, and therefore capable of quite easily being absorbed across the membrane of bacterial cells. Once the formic acid molecule is inside the cell, where the pH is a relatively constant 7.6 to 7.8, the absorbed formic acid will fully dissociate again and acidify the cytosol of the bacteria. Low cytosolic pH stresses the bacterial cell, alters vital enzyme kinetics, decreases the effectiveness of inwardly directed proton gradients, and increases the energy required by forcing the cell to try and restore physiological pH, and ultimately cell death (Figure 2).
Figure 2. Dual mode of action of formic acid for controlling bacteria

Dissociated formic acid (HCOO– + H+) alters extracellular pH, altering proton gradients, and damaging extra cellular structures. Undissociated formic acid (HCOOH) can be absorbed across the cell membrane before dissociating and altering intracellular pH, altering protein folding, enzyme kinetics, and disrupting cellular metabolism.
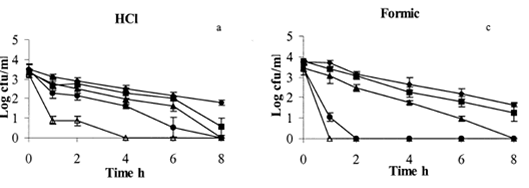
This was illustrated quite nicely in a trial by Chaveerach et al. (2002) in which they inoculated animal feed with 4 different strains of Campylobacter, and then acidified the diets to various pH's using different acids. They reported that at a pH of 4.0 and 4.5, Campylobacter recoveries from feed dropped to zero in about 4 and 8 hours, respectively, when the pH was attained using HCl (Figure 3). However, when they used formic acid to acidify the feed to pH 4.0 and 4.5, it only took 1 and 2 hours, respectively. The ability to stress the intracellular environment of the Campylobacter increased the cytotoxicity by a factor of 4.
Figure 3. Decline in Campylobacter counts in response to different acids (Chaveerach et al., 2002)

Open triangles represent pH = 4.0, closed circles represent pH = 4.5, closed triangles represent pH = 5.5, closed squares represent pH = 6.0, closed diamonds = unacidified feed.
In addition, organic acids inhibit growth of those pathogenic microbes which simply cannot grow at low pH like acid sensitive Salmonella, whereas beneficial acid-tolerant Lactobacilli are not inhibited by organic acids. In contrast, Lactobacilli like an acidic environment! Beyond those functions, organic acids like formic acid or propionic acid can be metabolized as nutrients by the animals.
Formic acid vs other organic acids
All organic acids benefit, to some extent, from this ability to be absorbed by microbes and thus act on both sides of the cell membrane. However, formic acid has a particular advantage over the other acids due to its simplicity and lower molecular mass. When chemists are comparing acid strength based on pKa, they are usually thinking in terms of molar strength. That is, the strength per molecule.
However, different molecules have different weights and densities. As you can see in the table below (Table 1), formic acid is the simplest of the organic acids, with the R-group consisting of a single hydrogen atom, and as a result has the lowest molecular mass (46 g/mol) and greatest molecular density of any organic acid (21.7 mol/kg). Unlike chemists, we formulate our diets based on the weight of the ingredients, not their molarity. Therefore, there are benefits to higher acid density in the form of greater concentration of active ingredient within the same formulation space in the mixer.
Table 1. Common organic acids、

For example, assume we are working on a diet formulation and have allocated a maximum of 3 kg/ton for a feed hygiene product/acidifier. If we were to use Amasil 85 (85% formic acid) those 3 kg would contribute 55.3 moles of H+ per metric ton of feed (21.7 mol/kg × 3 kg/mt × 85% = 55.3 mol/mt). Compare this with an encapsulated butyric acid product with 50% butyrate that can only supply 17.6 mols of H+ per metric ton of feed (11.7 mol/kg × 3 kg/mt × 50% = 17.6 mol/mt). The same amount of space in your formulation can supply roughly 3 times as much active ingredient. Even when you consider a polyprotic acid like citric (multiple COOH groups capable of donating H+) you get more active ingredient with the simple formic acid than with the more complex citric acid (5.2 mol/kg × 3 kg/mt × 3 H+ per molecule = 46.8 mol/mt). And that is before we take into consideration of how the 3 different pKa values affect the degree of dissociation within the pH ranges of interest (see Figure 4).
Figure 4. Free [H+] from formic and citric acid when added to feed at 3 kg/mt

Acids vs. Acid Salts
Another topic that is a frequent source of confusion is the difference between a free acid and an acid salt. An example would be free formic acid, vs calcium formate. Acid salts are the result of a buffering reaction between an acid and a base. There are good reasons to use mixtures containing acid salts, but there are tradeoffs involved that need to be understood before proceeding.
The main reasons to use acid salts are to facilitate handling and to reduce corrosion. Pure acid salts are generally dry powders, which can be more convenient than liquid acids depending on your mill, and they are less corrosive. For example, by converting part of the formic acid in Amasil NA to sodium formate and thereby reducing the free formic acid concentration to 61%, we can cut the corrosion rate on carbon steel by a factor of 10× (Figure 5). However, that benefit comes with a cost of slightly reduced potency, which is why our recommendations for Amasil NA are slightly higher than for Amasil 85.
Figure 5. Corrosion potential of straight and partially buffered formic acid in millimeters per year

The tradeoff is the result of the lost H+ that drives product efficacy, and replacing it with sodium. This tradeoff is exacerbated the more the product is buffered, with fully buffered acid salts (pure Na-formate or Ca-formate for example), being incapable of feed acidification at all. Therefore, a balance must be struck between the two competing objectives. Occasionally products will be introduced in which most or all of the acids present are included not as free acids, but as acid salts. Avoid these as they are either intended to trade on this confusion, creating the perception of benefit without delivering, or they have been formulated by individuals who are themselves confused. In either case, they are not good business partners.
Straight acids vs. acid blends
Due in part to the topics discussed above, different acids are more- or less-well suited to different applications. Formic acid is particularly effective for bacterial control and feed hygiene. This has been shown repeatedly in both in vitro experiments (Figure 6) and field trials. Propionic acid is particularly effective at controlling the growth of molds and yeasts. Lactic acid can be converted to butyric acid by bacteria in the gut, and butyric acid is believed by some to be a preferred energy source for enterocytes. Consequently, many have attempted to develop formulations that contain multiple acids with the hope of achieving all possible benefits with a single product. However, blends often fail to completely deliver on any of the intended benefits unless recommended dosage increases.
Referring to our diet formulation with 3 kg/mt of space for an organic acid, if we replace Amasil 85 with 3 kg/mt of a hypothetical 1:1:1 mixture of formic, propionic and lactic acid (let us call it ForProLac for convenience) we will see a moderate reduction in acidification potential (from 55.3 to 46. 4 mol/mt), but we can't forget that the efficacy of each of these acids are not the same with regard to inhibition of bacterial growth. Going by the results of Strauss and Hayler (2001; Figure 6), we see that formic acid is about 3x more potent than lactic acid on average, and propionic acid is about 1.5x as potent. Part of this is no doubt due to differences in density between formic and lactic, but density alone cannot explain the difference.
If the minimum inhibitory concentration (MIC) differences were based solely on differences in H+ concentration from the acid, then we would expect the MIC for propionic and lactic acid to be roughly 161 and 196% of that for formic acid, respectively, based on molar density (74 ÷ 46 = 1.61; 90 ÷ 46 = 1.96). Furthermore, we would expect that ForProLac would only need about 20% more space in our diet that Amasil 85 (55.3 ÷ 46.4 = 1.19).
However, the average MIC for propionic and lactic acid are not 61 and 96% higher than formic acid, respectively, but 100 and 200% higher than formic acid. Which means that a 3 kg/mt dose of our hypothetical ForProLac mixture should deliver the same microbial control as 1.83 kg/mt of Amasil 85. If we the goal is to get the same effect and allow dose to change, then to replace 3 kg/mt of Amasil 85 we would expect to need over 60% more ForProLac (3 × 1.83 = 5.49 kg/mt). While this hypothetical mixture may look comparable to the straight acid at first glance, it is actually quite inferior.
Figure 6. Minimum concentration of organic acids to inhibit the growth of bacteria commonly found on feed.

Each additional acid added to a mixture ultimately not only brings a potential benefit to the blend, but it also reduces the benefit of the other acids already in the blend. Particularly when we are replacing a smaller molecule with larger ones, or ones less well suited for a particular application. It is therefore important to be deliberate in the selection of feed acidifiers. First, one must decide "What do I expect this product to do for my diet?" and then make sure that the acidifier used can realistically achieve those targets at an economical dose. It is even more important to consider the intended result when thinking about using a blend to achieve multiple objectives.
Take-away message
Interest in organic acids for feed and water acidification are at an all-time high, and the market is responding by introducing new products to the market. Therefore, it is more important than ever that the savvy nutritionist consider carefully what they would hope to accomplish with an organic acid before deciding on which one to use.
Organic acids are not magic. While there are distinct differences in the suitability of the different acids for particular applications, that does not mean that a multi-acid product will necessarily be more beneficial than a straight product. Every additional ingredient (acid or other) added to a blend will result in a more dilute final product. That does not mean all blends are to be avoided (BASF offers several simple blends based on formic and propionic acid for bacteria and mold control, respectively). Just that you should be sure the blend is well suited to the intended effect and dosed accordingly.
It is worth considering that the intended benefit of a complex blend might not for the end user, but to the manufacturer who is cutting their production costs with cheaper ingredients. Also, some comparison trials will neglect to report or highlight the actual doses used, focusing instead on the potential while obfuscating the very real issue of whether a product can achieve the desired effect at an economically realistic dose.
Fortunately, characteristics like pKa, molecular mass, and product density can be useful tools for in silico evaluation of product on offer. A little time calculating and considering can quickly identify unsuitable products so they may be rejected without the time, expense, and uncertainty of animal trials.
However, it is also true that the ultimate determiner of product value are the animals themselves. Pencil and paper calculations are simply a tool for narrowing down the field to those most promising products.
Article made possible through the contribution of Joshua A. Jendza Ph.D. and BASF Corp.