Toggle navigation
eFeedLink
Toggle navigation
Home
Poultry
Swine
Feed & Grain
Aquaculture
Animal Health
Dairy & Ruminant
Market Data
SpoutINFO
Publication
Livestock & Feed Business
Technical Forum
Campaign & Library
Agri-Digital Hub
e-Conference & Video
Events
Review & Upcoming
Subscribe
eNewsletter
Connect with eFeedLink
Contact Us
Facebook
Twitter
For more of the article, please click
here
.
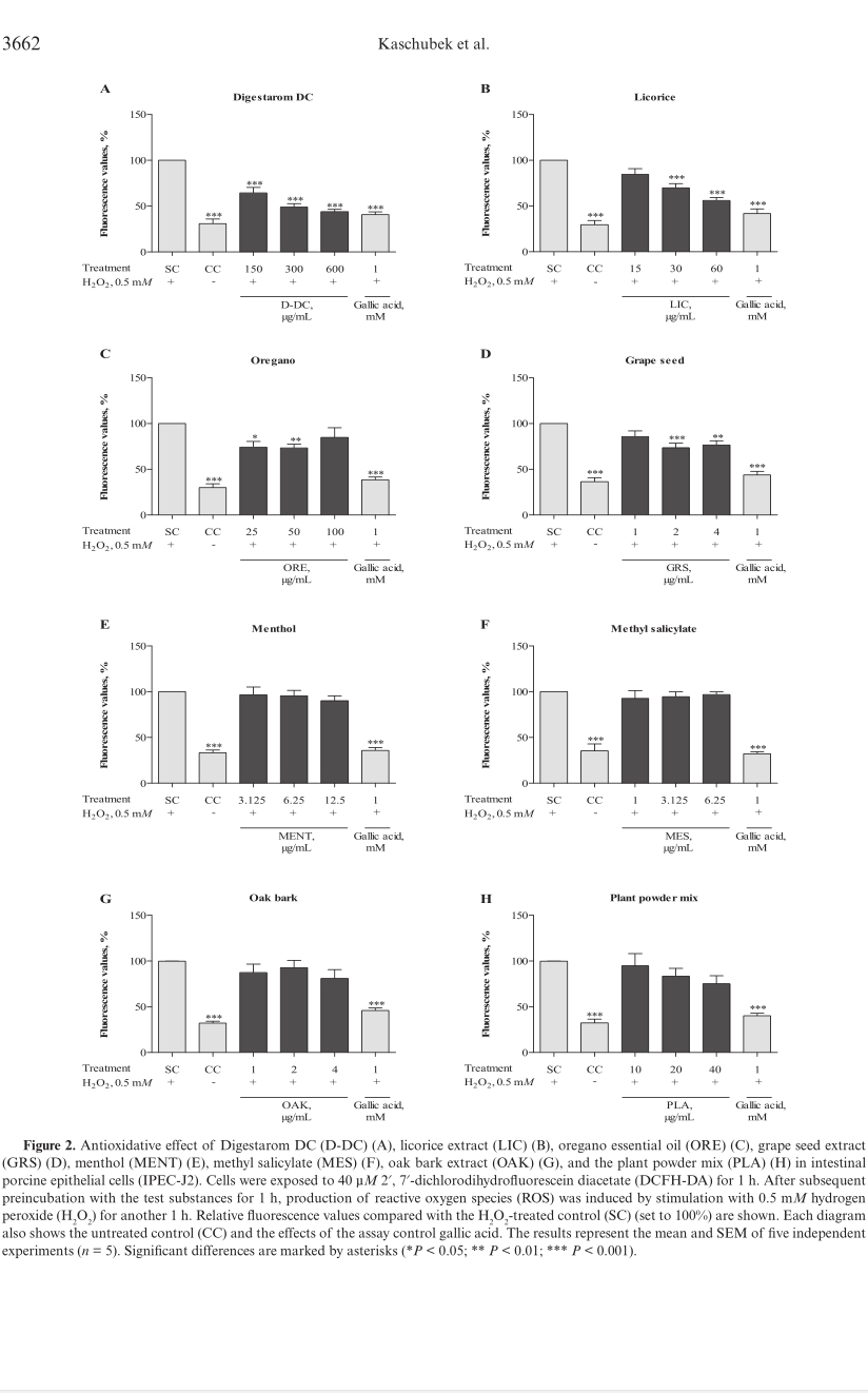
Article made possible through the contribution of T. Kaschubek et al.